概述
互联网是 Web 的支柱,以这种技术为基础使 Web 成为可能。作为基础,互联网是把电脑互相连接起来的一个巨大网络。
互联网的历史有些模糊不清。它始于 1960 年美国军方资助的研究项目。1980 年在许多公共大学和公司的支持下,它演变为一种公共基础设施。随着时间的变化,各种各样的技术支持着互联网的发展,但是它的工作方式却没有改变多少:互联网确保所有的电脑之间的连接,无论发生什么他们依旧保持连接。
自主学习
- 五分钟告诉你互联网是如何工作的:Aaron Titus 在五分钟的一个视频中告诉你非常基础的互联网知识。
- 互联网如何运作?:这是一个详细且可视化的 9 分钟视频。
深入探索
>一个简单的网络
当两台电脑需要通信的时候,你必须要连接他们,无论通过有线方式(通常是网线)或是无线方式(比如 WiFi 或蓝牙)。所有现代电脑都支持这些连接。
备注:接下来的内容,我们将只谈论有线连接,而无线连接的原理与此相同。

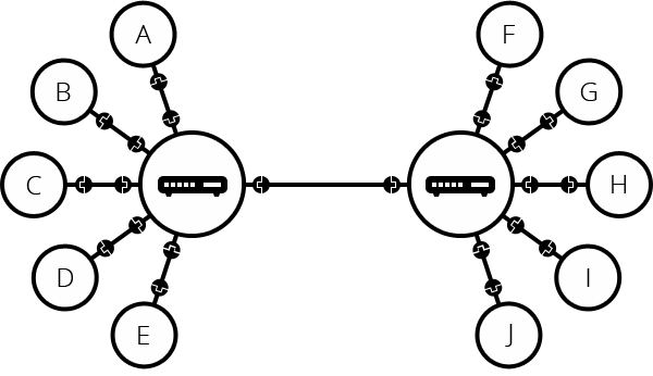
通常一个网络不仅限于两台电脑。你可以尽你所想地连接电脑,但是情况立刻变得复杂了。如果你尝试连接,比如说十台电脑,每台电脑有九个插头,总共需要 45 条网线。

为了解决这个问题,网络上的每台电脑需要链接到一个叫做路由器(router)的特殊小电脑。路由器只干一件事:就像火车站的信号员,它要确保从一台电脑上发出的一条信息可以到达正确的电脑。为了把信息发送给电脑 B,电脑 A 必须把信息发送给路由器,路由器将收到的信息转发给电脑 B,并且确保信息不会发送给电脑 C。
一旦我们把路由器加入到这个系统,我们的网络中便只需要十条网线:每台电脑一个插口,路由器上十个插口。

网络中的网
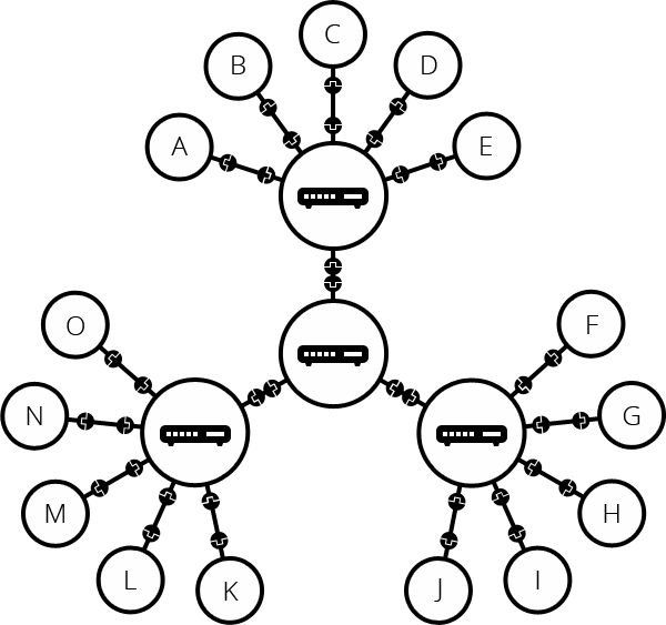
到目前为止一切都很好。但是我们要连接成百上千,上亿台电脑呢?当然一台路由器覆盖不了这么远,但是,如果你阅读得比较认真,我们曾提到路由器像其他电脑一样,所以我们为什么不把两个路由器彼此连接呢?

我们把电脑连接路由器,接着路由器连接路由器,我们就会有无穷的规模。

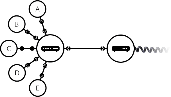
这样网络越来越接近我们所说的互联网,但是我们遗漏了一些东西。我们建立网络是为了我们自己的目的。所以不同的人会建立不同的网络:你的朋友,你的邻居,每个人都可以拥有自己的计算机网络。在你的房子和世界其他地方之间架设电缆将这些不同的网络连接起来是不可能的,那么你该如何处理这件事呢?其实已经有电缆连接到你的房子了,比如,电线和电话。电话基础设施已经可以把你家连接到世界的任何角落,所以它就是我们需要的线。为了连接电话这种网络我们需要一种基础设备叫做调制解调器(modem),调制解调器可以把网络信息变成电话设施可以处理的信息,反之亦然。

这样,我们可以通过电话基础设施相互连接。下一步是把信息从我们的网络发送到我们想要到达的地方。为了做这些,我们需要把我们的网络连接到互联网服务提供商(ISP)。ISP 是一家可以管理一些特殊的路由器的公司,这些路由器连接其他 ISP 的路由器。你的网络消息可以被 ISP 捕获并发送到相应的网络。互联网就是由这些所有的网络设施所组成。

寻找电脑
如果你想给一台电脑发送一条信息,你必须指明它是哪台电脑。因此,任何连接到网络中的电脑都需要有一个唯一的地址来标记它,叫做“IP 地址”(IP 代表网络协议)。这个地址由四部分被点分隔的数字序列组成,比如:192.0.2.172。
这对于计算机来说完全没问题,但我们人类很难记住这种地址。为了使事情更简单,我们可以使用一个叫做域名的可读名称来替代 IP 地址。例如(在写作时,IP 地址可能会变化),google.com 是用于 IP 地址 142.250.190.78 的域名。所以使用域名是我们通过互联网访问计算机的最简单方式。

互联网和 Web
你可能注意到了,当我们通过浏览器上网的时候,我们通常是用域名去到达一个网站。这是否意味着互联网和 Web 是一样的?事实并非这么简单。正如向我们所见,互联网是一种基础的技术,它允许我们把成千上万的电脑连接在一起。在这些电脑中,有一些电脑(我们称之为 Web 服务器)可以发送一些浏览器可以理解的信息。互联网是基础设施,Web 是建立在这种基础设施之上的服务。值得注意的是,一些其他服务也同样运行在互联网之上,比如邮箱和 IRC。
内联网和外联网
内联网(Intranet)是仅限于特定组织成员使用的专用网络。它们通常用于为成员提供一个门户,以便安全地访问共享资源、进行协作和交流。例如,一个组织的内联网可能包含用于共享部门或团队信息的网页、用于管理关键文档和文件的共享驱动器、用于执行业务管理任务的门户网站,以及维基、讨论板和消息系统等协作工具。
外联网(Extranet)与内联网非常相似,只是它们开放了全部或部分专用网络,允许与其他组织共享和协作。外联网通常用于安全可靠地与客户和与企业密切合作的利益相关者共享信息。其功能通常与内联网类似:信息和文件共享、协作工具、讨论板等。
内联网和外联网都在与互联网相同的基础设施上运行,并使用相同的协议。因此,经授权的成员可以从不同的物理位置访问它们。
